Un exemple de calcul de la pente des eaux usées: formules et normes technologiques
Le système d'assainissement est un réseau de pipelines, d'unités fonctionnelles, de modules et de composants standard. L'ensemble est conçu pour assurer un passage sans entrave des eaux usées. Il est évident qu'un mouvement spontané des eaux usées domestiques dans les canalisations est possible si la pente a été observée lors de leur pose.
À partir de l'article que nous vous proposons, vous apprendrez à calculer la pente du réseau d'égouts. Après tout, ce n'est pas une valeur arbitraire: la pente doit assurer le mouvement des effluents à la vitesse nécessaire au fonctionnement normal du système. Nous décrirons comment un paramètre important pour les eaux usées est déterminé.
Le contenu de l'article:
Dispositif de réseau d'égout: règles et règlements
L'installation du ménage et de tout autre système d'égout est expliquée très clairement par SNiP. De plus, les explications disponibles dans les documents sont les normes et les règles que les constructeurs professionnels observent strictement.
La construction de bricolage, bien sûr, est difficile à assimiler à des activités professionnelles. Mais ce moment ne supprime pas les obligations d'installation du maître de maison. Par conséquent, il est recommandé que chaque constructeur sache comment calculer le système d'égouts.

Il semblerait, pourquoi entrer dans toutes les subtilités des calculs? Est-ce que quelque chose va vraiment changer radicalement dans le système d'égouts si nous faisons la pente du tuyau un peu moins ou un peu plus que les paramètres SNiP existants?
Ainsi, la pratique de l'exploitation des communications montre: même de petits écarts des valeurs de pente par rapport aux normes établies peuvent perturber le fonctionnement normal du système d'égouts.
Par exemple, le propriétaire d'une maison privée fait un égout de ses propres mains et ne possède pas la méthode de calcul. Il prend et pose la pente des pipelines «à l'œil».En conséquence, la valeur de la pente des eaux usées domestiques est inférieure aux chiffres normatifs.

La vitesse de déplacement de l'environnement économique et fécal diminue, dans un premier temps des formes de congestion insignifiantes, suivies d'énormes, difficiles à percer. Enfin, la ligne est complètement bouchée, la tâche du nettoyage global est à l'ordre du jour. Et un tel fonctionnement du système, avec une pente insuffisante des canalisations, promet une constance enviable de congestion et d'odeurs désagréables.
Autre point: un maître non professionnel monte l'égout à une pente qui dépasse les chiffres normatifs. Une pente surestimée des canalisations d'eaux usées augmente la vitesse du milieu liquide, mais ce qu'on appelle «l'effet de séparation» se forme.
Le fluide s'écoulant au-dessus du taux d'autonettoyage est séparé de la masse solide qui reste sur les parois du tuyau. Au fil du temps, les masses résiduelles augmentent et le même résultat est obtenu - congestion, odeurs, nettoyage.
Des valeurs de pente correctement définies sont la clé d'un fonctionnement long et fiable du système.
À propos du calcul des réseaux d'égouts
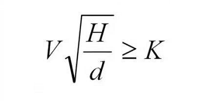
La vitesse de déplacement de l'environnement économique et fécal, à laquelle l'effet autonettoyant est obtenu, est calculée mathématiquement par la formule:

Désignations:
- V - vitesse du milieu liquide (pas moins de 0,7 m / s);
- H / d - taux d'occupation du tuyau d'égout (au moins 1/3 du volume);
- K - coefficient de résistance, en fonction du matériau de la canalisation (0,5 - plastique, verre; 0,6 - autres).
L'atelier des systèmes d'égouts ménagers et industriels permet des situations où les conditions calculées par la formule spécifiée ne peuvent être remplies en raison de la faible consommation d'eaux usées.
Dans ce cas, il est recommandé d'installer des communications à partir de tuyaux d'un diamètre allant jusqu'à 50 mm avec une pente de 3 mm par 1 mètre de longueur. Les pipelines d'un diamètre de 85 à 100 mm sont posés conformément à une pente de 2 mm par 1 mètre de longueur. Dans tous les cas, la valeur maximale autorisée de la norme de pente peut être de 15 mm par mètre de longueur, mais pas plus.
Si un mécanisme de canal pour le transport des eaux usées est utilisé dans le système d'égout, il existe également une norme pour ce cas. Ainsi, le niveau de remplissage des plateaux ne doit pas dépasser 0,8 de la taille de leur hauteur. La largeur du bac d'égout ne peut être inférieure à 200 mm.
De plus, la largeur du plateau est définie en fonction du calcul des propriétés hydrauliques du système et des caractéristiques de conception de cet élément. Ainsi, les plateaux d'égout d'une hauteur supérieure à 500 mm de largeur ne doivent pas être inférieurs à 700 mm.

Les plateaux dans la construction des égouts sont utilisés dans la construction de systèmes de drainage et de pluvial Avec calcul pente du tuyau de drainage vous familiarisera avec un article que nous vous recommandons vivement de lire.
Les eaux usées, remplies d'une forte teneur en suspensions mécaniques, sont évacuées le long des canalisations d'égouts faites avec une pente, dont la valeur est également déterminée par calcul, en tenant compte de la fourniture de la vitesse du fluide autonettoyant dans les tuyaux.
Le remplissage des pipelines est normalisé par la valeur 1/3 de leur volume. Typiquement, ce type d'effluent fait référence aux produits industriels, où les particules de métaux et autres substances solides sont des suspensions mécaniques.
Autres normes (règles) d'installation
Les dispositions de la documentation réglementaire affectent à la fois les caractéristiques des équipements impliqués dans le réseau d'égouts et les nuances de l'installation elle-même.
Matériel de communication fermé
Pour la plupart des cas de conception de communications d'égout domestique, les normes (règles) prévoient l'exécution de pipelines fermés. Un tel schéma fonctionne traditionnellement sur le principe du mouvement des eaux domestiques et fécales par gravité.
Dans certaines installations (généralement industrielles), où les eaux usées sont rejetées sans odeurs et fumées dangereuses, il est permis d'effectuer des communications basées sur des plateaux à gravité. Dans ce cas, il est nécessaire d'équiper les lignes de bacs d'un dispositif de verrouillage de l'eau.

Si nous considérons le système dans le plan, chaque section individuelle communications d'égout monté strictement rectiligne. S'il est nécessaire de changer le sens de pose des canalisations, des composants de montage standard sont utilisés (coins, croix, tés, transitions, etc.).
Il est inacceptable de modifier les valeurs calculées de la pente des canalisations d'égout dans une section distincte de la ligne terminée, montée en position horizontale.
Quels tuyaux conviennent au système?
En ce qui concerne les réseaux d'égouts (domestiques, industriels), ainsi que l'accent mis sur les propriétés de résistance à la corrosion et de résistance, diverses modifications des tuyaux sont utilisées pour l'installation des eaux usées.
Pour les communications faites sur le principe de la gravité, les matériaux des tuyaux sont:
- composés polymères;
- fonte;
- béton
- verre;
- amiante-ciment.
Critères et règles de sélection tuyaux pour eaux usées externes donné ici. Les informations que nous vous recommandons seront utiles à tous les propriétaires zélés des zones suburbaines prévues pour la construction.
Sous communications, transportant des liquides sous pression, les tuyaux sont constitués de matériaux:
- les polymères;
- fonte;
- l'amiante-ciment;
- béton armé.
Les conduites d'égout à action interne sont montées de deux manières: ouverte / cachée. Quelle que soit la méthode d'installation, les tuyaux en polymère sont largement utilisés dans l'installation. Avec des repères de choix meilleurs tuyaux d'égout nous familiarisera avec l'article que nous vous recommandons.
Des canalisations d'égout en plastique peuvent être posées dans le sol sous le niveau du sol des bâtiments. Mais vous devez prendre en compte la charge par site avec de telles communications.

Les raccords en plastique sont considérés comme universels, peuvent être utilisés avec succès pour les réseaux internes et externes.
Caractéristiques de l'installation des contremarches
L'installation des colonnes montantes à l'intérieur des bâtiments résidentiels se fait dans les canaux, les mines, les boîtes. Leur conception doit être conforme aux règles de sécurité incendie. Les mines, conduits, canaux, etc., sont nécessairement équipés de panneaux amovibles.
Grâce à la suppression des panneaux donne accès aux communications. L'utilisation de panneaux amovibles en matériaux pouvant brûler est autorisée si la conduite d'égout est constituée de tuyaux en polychlorure de vinyle. Les panneaux de puits où sont posés des tuyaux en polyéthylène sont généralement faits de matériaux ignifuges.
Lignes ouvertes et fermées
L'installation de canalisations d'égout ouvertes en plastique est autorisée à l'intérieur des combles des bâtiments résidentiels, ainsi que dans les sous-sols.
Les endroits où les colonnes montantes d'égout se déplacent de la zone d'habitation à la zone du grenier doivent être recouverts d'un mortier de ciment d'une épaisseur d'au moins 20-30 mm. Le même mélange protège la zone du tuyau au-dessus du niveau de chevauchement de 80 à 100 mm, et avant de sceller avec du ciment, un matériau d'étanchéité est appliqué à la surface du pipeline.
La pose de conduites d'égout internes est interdite dans la structure des sols, des murs intérieurs, dans la zone du plafond des logements des locaux de stockage. Un certain nombre de bâtiments et de locaux à d'autres fins sont soumis aux mêmes exigences, lorsqu'un régime sanitaire spécial est prévu.
S'il est nécessaire de poser un tuyau de sortie de l'évier de la baignoire ou de l'évier de la cuisine, cela se fait au-dessus du sol en utilisant une imperméabilisation, puis en faisant face à la zone d'installation.

La combinaison d'égouts domestiques et industriels n'est pas autorisée si les effluents industriels contiennent des liquides de nature toxique ou inflammables.Les réseaux d'égouts de tout type, dont le schéma prévoit l'évacuation des eaux usées dans le réseau d'égouts externe, devraient être équipés de colonnes montantes de ventilation.
Remorque supérieure tuyaux de ventilation il faut se retirer à travers l'épaisseur de la toiture et remonter à une hauteur:
- Pour toiture plate (au moins 300 mm).
- Pour toitures inclinées (au moins 500 mm).
La distance dans le sens horizontal de la sortie de la colonne montante aux fenêtres et balcons voisins du bâtiment doit être d'au moins 4 mètres.
Pose de tuyaux d'égout
Joint égout en pente - ce n'est qu'une partie des exigences pour la pose générale du réseau d'égouts. Vous devez également prendre en compte les normes établies pour la pose de tuyaux, en fonction des risques d'endommagement et de destruction.
Ces normes sont dues à des charges temporaires et permanentes sur les communications. Par exemple, pour les conditions domestiques, la pose de tuyaux d'égout à l'intérieur des bâtiments est effectuée à une profondeur d'au moins 100 mm, si nous prenons la surface du sol et la paroi extérieure supérieure du tuyau d'égout comme points de mesure.
Pipelines eaux usées domestiquesmontés dans des endroits pouvant subir des influences mécaniques, il est recommandé de les protéger en limitant leur accès direct. À ces fins, des filets de protection, des plateaux, des canaux, etc. sont utilisés.
Si le pipeline est en dessous du niveau de gel saisonnier des couches de sol, la technologie doit être appliquée isolation des tuyaux d'égout. La mousse de polyuréthane rigide prétend être le rôle de l'isolation moderne. De plus, les tuyaux d'égout sont isolés avec de la laine minérale avec une imperméabilisation préliminaire.

Lorsqu'une tranchée sert de lieu de pose de communications, après en avoir développé une avec une pente estimée et avant de poser des tuyaux, il est recommandé d'effectuer le compactage du sol. Des travaux de compactage des sols sont effectués sur la zone du fond de la tranchée sur toute sa longueur.
Le compactage du sol est requis d'au moins 200-300 mm de profondeur. Après avoir effectué ces mesures, du gravier est versé dans la tranchée avec une pente estimée ou des plateaux sont posés et des tuyaux d'égout sont déjà placés dans les plateaux.
Conclusions et vidéo utile sur le sujet
Réflexions intéressantes et informatives sur la pente correcte du tuyau d'égout:
L'organisation des eaux usées ménagères n'est pas une chose aussi simple que peut l'imaginer un profane inexpérimenté. Les professionnels dans le domaine du logement et des communications domestiques le savent: il est nécessaire de calculer la pose des réseaux d'égouts dans chaque cas de leur construction, que l'installation soit pour une maison privée ou qu'un système industriel soit en cours.
Veuillez écrire des commentaires, poser des questions, publier des photos dans le bloc ci-dessous. Parlez-nous de la façon dont les conduites d'égout ont été posées dans votre propre banlieue, avez-vous respecté l'écart-type. Il est possible que vos conseils soient utiles aux visiteurs du site.
