Calcul hydraulique d'un gazoduc: méthodes et méthodes de calcul + exemple de calcul
Pour un fonctionnement sûr et sans problème de l'alimentation en gaz, il doit être conçu et calculé. Il est important de sélectionner parfaitement les tuyaux pour les autoroutes de tous types de pression, assurant une alimentation stable en gaz aux appareils.
Pour que la sélection des tuyaux, raccords et équipements soit aussi précise que possible, un calcul hydraulique du pipeline est effectué. Comment le faire? Admettez, vous n'êtes pas trop versé dans cette affaire, comprenons.
Nous vous proposons de vous familiariser avec des informations méticuleusement sélectionnées et soigneusement traitées sur les options de production de calcul hydraulique pour les réseaux de gazoducs. L'utilisation des données présentées par nous assurera l'approvisionnement en carburant bleu des appareils avec les paramètres de pression requis. Les données soigneusement vérifiées sont basées sur les réglementations de la documentation réglementaire.
L'article décrit en détail les principes et les schémas de l'informatique. Un exemple de calcul est donné. Comme ajout informatif utile, vous avez utilisé des applications graphiques et des instructions vidéo.
Le contenu de l'article:
Les spécificités du calcul hydraulique
Tout calcul hydraulique effectué est une détermination des paramètres du futur gazoduc. Cette procédure est obligatoire, ainsi que l'une des étapes les plus importantes de la préparation de la construction. La justesse du calcul détermine si le gazoduc fonctionnera de manière optimale.
Lors de chaque calcul hydraulique, les éléments suivants sont déterminés:
- le nécessaire diamètre du tuyauqui garantira un transport efficace et stable de la bonne quantité de gaz;
- si des pertes de pression lors du déplacement du volume requis de carburant bleu dans des tuyaux d'un diamètre donné seront acceptables.
Les pertes de charge sont dues au fait que dans tout gazoduc, il existe une résistance hydraulique. Un calcul incorrect peut conduire au fait que les consommateurs n'auront pas assez de gaz pour un fonctionnement normal dans tous les modes ou aux moments de sa consommation maximale.
Ce tableau est le résultat d'un calcul hydraulique effectué en tenant compte des valeurs réglées. Pour effectuer les calculs, vous devrez saisir des indicateurs spécifiques dans les colonnes.
| Le début du site | Fin de l'intrigue | Consommation estimée m³ / h | Longueur du gazoduc | Diamètre intérieur cm | Pression initiale, Pa | Pression finale, Pa | Chute de pression, Pa |
| 1 | 2 | 31,34 | 120 | 9,74 | 2000,00 | 1979,33 | 20,67 |
| 2 | 3 | 31,34 | 150 | 9,74 | 1979,33 | 1953,48 | 25,84 |
| 3 | 4 | 31,34 | 180 | 7,96 | 1953,48 | 1872,52 | 80,96 |
| 4 | 5 | 29,46 | 90 | 7,96 | 1872,52 | 1836,2 | 36,32 |
| 5 | 6 | 19,68 | 120 | 8,2 | 1836,2 | 1815,45 | 20,75 |
| 6 | 7 | 5,8 | 100 | 8,2 | 1815,45 | 1813,95 | 1,5 |
| 4 | 8 | 9,14 | 140 | 5 | 1872,52 | 1806,38 | 66,14 |
| 6 | 9 | 4,13 | 70 | 5 | 1815,45 | 1809,83 | 5,62 |
Une telle opération est une procédure normalisée par état qui est effectuée conformément aux formules et aux exigences énoncées dansSP 42-101-2003.
Les calculs doivent être effectués par le développeur. Les données sur les conditions techniques du pipeline, qui peuvent être obtenues auprès de votre approvisionnement en gaz, sont prises comme base.
Gazoducs nécessitant un règlement
L'État exige que des calculs hydrauliques soient effectués pour tous les types de pipelines liés au système d'alimentation en gaz. Puisque les processus qui se produisent pendant le mouvement du gaz sont toujours les mêmes.
Les types de gazoducs suivants incluent:
- basse pression;
- moyenne, haute pression.
Les premiers sont conçus pour transporter du carburant vers les installations résidentielles, toutes sortes de bâtiments publics, les entreprises domestiques. De plus, dans les immeubles d'habitation privés, les chalets, la pression de gaz ne doit pas dépasser 3 kPa, dans les entreprises familiales (hors production) ce chiffre est plus élevé et atteint 5 kPa.
Le deuxième type de pipelines est conçu pour alimenter les réseaux, toutes sortes de basses et moyennes pressions par des points de contrôle du gaz, ainsi que pour fournir du gaz aux consommateurs individuels.
Cela peut être industriel, agricole, divers services publics et même autonome, ou attaché à des bâtiments industriels. Mais dans les deux derniers cas, il y aura des restrictions de pression importantes.
Les types de gazoducs énumérés ci-dessus sont classiquement classés dans les catégories suivantes:
- maison, en boutique, c'est-à-dire transporter du carburant bleu à l'intérieur de tout bâtiment et le livrer à des unités ou appareils individuels;
- succursales d'abonnésutilisé pour fournir du gaz à partir d'un réseau de distribution à tous les consommateurs disponibles;
- distributionutilisé pour fournir du gaz à certains territoires, par exemple, les villes, leurs zones séparées, les entreprises industrielles. Leur configuration est différente et dépend des caractéristiques de la mise en page. La pression à l'intérieur du réseau peut être quelconque - faible, moyenne, élevée.
En outre, le calcul hydraulique est effectué pour les réseaux de gaz avec un nombre différent d'étages de pression, dont il existe de nombreuses variétés.
Ainsi, pour répondre aux besoins, des réseaux à deux étages peuvent être utilisés qui fonctionnent avec du gaz transporté à basse, haute pression ou basse, moyenne. Et aussi des réseaux à trois étages et divers à plusieurs étages ont trouvé une application. Autrement dit, tout dépend de la disponibilité des consommateurs.

Malgré la grande variété d'options de gazoducs, le calcul hydraulique est similaire dans tous les cas. Puisque des éléments structuraux avec des matériaux similaires sont utilisés pour la fabrication, et les mêmes processus se produisent à l'intérieur des tuyaux.
La résistance hydraulique et son rôle
Comme indiqué ci-dessus, la base du calcul est la présence d'une résistance hydraulique dans chaque gazoduc.
Il agit sur l'ensemble de la construction du pipeline, ainsi que sur ses parties individuelles, noeuds - tés, lieux de réduction significative du diamètre des canalisations, vannes, vannes diverses. Cela entraîne une perte de pression par le gaz transporté.
La résistance hydraulique est toujours la somme de:
- résistance linéaire, c'est-à-dire agissant sur toute la longueur de la structure;
- des résistances locales agissant sur chaque composant de la structure, où il y a un changement dans la vitesse de transport du gaz.
Les paramètres répertoriés affectent constamment et de manière significative les performances de chaque gazoduc. Par conséquent, à la suite d'un calcul incorrect, des pertes financières supplémentaires et impressionnantes se produiront du fait que le projet devra être refait.
Règles de calcul
Il a été indiqué ci-dessus que la procédure pour tout calcul hydraulique est réglementée par le Code de règles pertinent avec un numéro42-101–2003.
Le document indique que le principal moyen de calcul est d'utiliser un ordinateur avec des programmes spéciaux à cet effet, qui vous permet de calculer la perte de pression prévue entre les sections du futur gazoduc ou le diamètre de tuyau souhaité.

S'il n'y a pas de tels programmes ou si une personne pense que leur utilisation est inappropriée, vous pouvez appliquer d'autres méthodes autorisées par le Code de bonnes pratiques.
Qui comprennent:
- le calcul selon les formules données dans l'entreprise commune est la méthode de calcul la plus difficile;
- Le calcul par les soi-disant nomogrammes est une option plus simple que l'utilisation de formules, car vous n'avez pas à faire de calculs, car les données nécessaires sont répertoriées dans un tableau spécial et sont données dans le Code de règles, et il vous suffit de les sélectionner.
L'une des méthodes de calcul conduit aux mêmes résultats. Par conséquent, le gazoduc nouvellement construit sera en mesure de fournir en temps opportun et sans interruption la quantité de carburant prévue, même pendant son utilisation maximale.
Option informatique PC
Effectuer un calcul à l'aide d'un ordinateur est le moins long - tout ce qui est requis d'une personne est d'insérer les données nécessaires dans les colonnes appropriées.
Par conséquent, le calcul hydraulique se fait en quelques minutes, et pour cette opération ne nécessite pas un grand stock de connaissances, ce qui est nécessaire lors de l'utilisation de formules.
Pour sa mise en œuvre correcte, il est nécessaire de prendre les données suivantes des conditions techniques:
- densité de gaz;
- coefficient de viscosité cinétique;
- température du gaz dans votre région.
Les conditions techniques nécessaires sont obtenues à la station-service de la colonie dans laquelle le gazoduc sera construit. En fait, avec la réception de ce document, la conception de tout pipeline commence, car il contient toutes les exigences de base pour sa conception.

Ensuite, le développeur doit connaître le débit de gaz pour chaque appareil qui doit être connecté au gazoduc. Par exemple, si le combustible sera transporté dans une maison privée, il y a le plus souvent des poêles utilisés pour la cuisson, toutes sortes de chaudières de chauffage, et leurs numéros contiennent toujours les numéros nécessaires.
De plus, vous devez connaître le nombre de brûleurs pour chaque poêle, qui seront connectés au tuyau.
À l'étape suivante de la collecte des données nécessaires, des informations sont collectées sur la chute de pression sur les sites d'installation de tout équipement - il peut s'agir d'un compteur, d'une vanne d'arrêt, d'une vanne d'arrêt thermique, d'un filtre et d'autres éléments.
Dans ce cas, les numéros requis sont faciles à trouver - ils sont contenus dans un tableau spécial attaché au passeport de chaque produit. Le concepteur doit prêter attention au fait que la chute de pression doit être indiquée à la consommation maximale de gaz.

À l'étape suivante, il est recommandé de connaître la pression du carburant bleu au point d'insertion. Ces informations peuvent contenir les conditions techniques de son gaz, le schéma précédemment établi du futur gazoduc.
Si le réseau comprend plusieurs sections, elles doivent être numérotées et indiquer la longueur réelle. De plus, chaque variable doit être enregistrée séparément - il s'agit de la consommation totale de tout appareil qui sera utilisé, de la chute de pression, d'autres valeurs.
Sans faute, un facteur de simultanéité sera nécessaire. Il prend en compte la possibilité d'un travail en commun de tous les consommateurs de gaz connectés au réseau. Par exemple, tous les équipements de chauffage situés dans un immeuble d'appartements ou une maison privée.
Ces données sont utilisées par le programme qui effectue le calcul hydraulique pour déterminer la charge maximale sur n'importe quelle section ou dans l'ensemble du gazoduc.
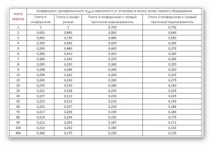
Pour chaque appartement ou maison individuelle, le coefficient spécifié n'a pas besoin d'être calculé, car ses valeurs sont connues et indiquées dans le tableau ci-dessous:

Si, dans une installation, il est prévu d'utiliser plus de deux chaudières de chauffage, fournaises et chauffe-eau à accumulation, l'indice de simultanéité sera toujours de 0,85. Ce qui devra être indiqué dans la colonne correspondante utilisée pour le calcul du programme.
Le suivant devrait indiquer diamètre du tuyau, et vous aurez également besoin de leurs coefficients de rugosité, qui seront utilisés dans la construction du pipeline. Ces valeurs sont standard et peuvent être facilement trouvées dans le Code de conduite.
L'influence du matériau du tuyau sur le calcul
Pour la construction de gazoducs, des tuyaux constitués uniquement de certains matériaux peuvent être utilisés: acier, polyéthylène. Dans certains cas, des produits en cuivre sont utilisés. Bientôt constructions métal-plastique.

Aujourd'hui, les informations nécessaires ne peuvent être obtenues que pour les tuyaux en acier et en polyéthylène. Par conséquent, la conception et le calcul hydraulique ne peuvent être effectués qu'en tenant compte de leurs caractéristiques, ce qui est requis par le code de bonnes pratiques applicable. Et aussi dans le document les données nécessaires au calcul sont indiquées.
Le coefficient de rugosité est toujours égal aux valeurs suivantes:
- pour tous les tuyaux en polyéthylène, neufs ou non, neufs - 0,007 cm;
- pour les produits en acier déjà utilisés - 0,1 cm;
- pour les nouvelles structures en acier - 0,01 cm.
Pour tout autre type de tuyaux, cet indicateur n'est pas indiqué dans le Code d'usages. Par conséquent, ils ne doivent pas être utilisés pour la construction d'un nouveau gazoduc, car les spécialistes de Gorgaz peuvent nécessiter des ajustements. Et c'est encore un coût supplémentaire.
Calcul du débit dans une zone limitée
Si le gazoduc se compose de sections distinctes, le calcul du débit total pour chacune d'elles devra être effectué séparément. Mais ce n'est pas difficile, car les calculs nécessiteront des chiffres déjà connus.
Définition des données à l'aide d'un programme
Connaissant les indicateurs initiaux, ayant accès au tableau de simultanéité et aux fiches techniques des poêles et chaudières, vous pouvez procéder au calcul.
Pour ce faire, les actions suivantes sont effectuées (un exemple est donné pour un gazoduc intra-maison de pression exactement basse):
- Le nombre de chaudières est multiplié par les performances de chacune d'entre elles.
- La valeur obtenue est multipliée par le coefficient de simultanéité spécifié par un tableau spécial pour ce type de consommateur.
- Le nombre de poêles destinés à la cuisson est multiplié par la productivité de chacun d'eux.
- La valeur obtenue après l'opération précédente est multipliée par le coefficient de simultanéité tiré d'une table spéciale.
- Les montants reçus pour les chaudières et les poêles sont résumés.
Des manipulations similaires sont effectuées pour toutes les sections du pipeline. Les données obtenues sont entrées dans les colonnes correspondantes du programme avec lequel le calcul est effectué. L'électronique fait tout le reste.
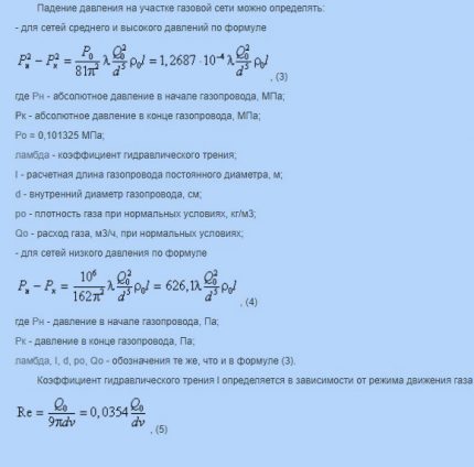
Calcul à l'aide de formules
Ce type de calcul hydraulique est similaire à celui décrit ci-dessus, c'est-à-dire que les mêmes données seront nécessaires, mais la procédure sera longue. Étant donné que tout devra être fait manuellement, en outre, le concepteur devra effectuer un certain nombre d'opérations intermédiaires afin d'utiliser les valeurs obtenues pour le calcul final.
Et vous devrez également consacrer beaucoup de temps à comprendre de nombreux concepts, problèmes qu'une personne ne rencontre pas lorsqu'elle utilise un programme spécial. Vous pouvez vérifier la validité de ce qui précède en lisant les formules à utiliser.

Dans l'application des formules, comme dans le cas du calcul hydraulique à l'aide d'un programme spécial, il existe des fonctionnalités pour les canalisations de gaz basses, moyennes et, bien sûr, haute pression. Et cela mérite d'être rappelé, car une erreur est lourde, et toujours, de coûts financiers impressionnants.
Calculs de nomogramme
Tout nomogramme spécial est un tableau où une série de valeurs est indiquée, après avoir étudié que vous pouvez obtenir les indicateurs nécessaires sans effectuer de calculs. Dans le cas du calcul hydraulique, le diamètre du tuyau et l'épaisseur de ses parois.

Il existe des nomogrammes distincts pour les produits en polyéthylène et en acier. Lors de leur calcul, des données standard ont été utilisées, par exemple, la rugosité des parois internes. Par conséquent, vous ne pouvez pas vous soucier de l'exactitude des informations.
Exemple de calcul
Un exemple de calcul hydraulique à l'aide du programme pour les gazoducs à basse pression est donné. Dans le tableau proposé, toutes les données que le concepteur doit saisir indépendamment sont surlignées en jaune.
Ils sont énumérés dans le paragraphe sur le calcul hydraulique assisté par ordinateur ci-dessus. Ce sont la température du gaz, le coefficient de viscosité cinétique, la densité.
Dans ce cas, le calcul est effectué pour les chaudières et les poêles, pour cette raison, il est nécessaire de prescrire le nombre exact de brûleurs, qui peut être 2 ou 4. La précision est importante, car le programme sélectionnera automatiquement le facteur de simultanéité.

Il convient de prêter attention à la numérotation des parcelles - elle n'est pas inventée indépendamment, mais est tirée d'un schéma précédemment établi, où des nombres similaires sont indiqués.
Ensuite, la longueur réelle du pipeline et la soi-disant estimation, qui est plus grande, sont prescrites. Cela se produit car dans toutes les zones où il existe une résistance locale, il est nécessaire d'augmenter la longueur de 5 à 10%. Ceci est fait afin d'exclure une pression de gaz insuffisante des consommateurs.Le programme effectue lui-même le calcul.
Le débit total en mètres cubes, pour lequel une colonne séparée est prévue, est calculé à l'avance pour chaque section. Si la maison est à plusieurs unités, le nombre de logements doit être indiqué et en commençant par la valeur maximale, comme on peut le voir dans la colonne correspondante.
Sans faute, tous les éléments du gazoduc sont entrés dans le tableau, lors du passage duquel la pression est perdue. L'exemple montre une vanne d'arrêt thermique, une vanne d'arrêt et un compteur. La valeur de la perte dans chaque cas a été prise dans le passeport du produit.

Le diamètre intérieur du tuyau est indiqué selon les spécifications techniques, si le gaz a des exigences, ou à partir d'un schéma préalablement établi. Dans ce cas, il est prescrit à 5 cm dans la plupart des sections, car la plupart du gazoduc longe la façade et le gazoduc local nécessite que le diamètre ne soit pas inférieur.
Même si vous regardez superficiellement avec l'exemple donné de calcul hydraulique, il est facile de remarquer qu'en plus des valeurs entrées par une personne, il y en a un grand nombre d'autres. Tout cela est le résultat du programme, car après avoir entré les chiffres dans les colonnes spécifiques surlignées en jaune, le travail de calcul est terminé pour la personne.
Autrement dit, le calcul lui-même s'effectue assez rapidement, après quoi les données peuvent être envoyées pour approbation au service du gaz de la ville.
Conclusions et vidéo utile sur le sujet
Cette vidéo permet de comprendre où commence le calcul hydraulique, où les concepteurs obtiennent les données nécessaires de:
La vidéo suivante montre un exemple de l'un des types de calcul informatique:
De plus, vous pouvez voir un exemple de calcul à l'aide d'un programme informatique:
Pour effectuer un calcul hydraulique à l'aide d'un ordinateur, comme le permet le Code de bonnes pratiques spécialisé, il suffit de passer un peu de temps à se familiariser avec le programme et à collecter les données nécessaires.
Mais tout cela n'a pas de signification pratique, car la préparation du projet est une procédure beaucoup plus longue et comprend de nombreuses autres questions. Dans ce contexte, la plupart des citoyens devront se tourner vers des spécialistes pour obtenir de l'aide.
Vous avez des questions, trouvez des bugs ou pouvez-vous ajouter des informations précieuses à notre matériel? Laissez vos commentaires, posez des questions, partagez vos expériences dans le bloc ci-dessous.

Et où puis-je télécharger ce tableau pour le calcul hydraulique des gazoducs basse pression? Je serais reconnaissant pour la réponse.