Calcul thermotechnique d'un bâtiment: spécificités et formules pour effectuer des calculs + exemples pratiques
Pendant le fonctionnement du bâtiment, la surchauffe et le gel sont indésirables. Déterminer le juste milieu permettra le calcul de l'ingénierie thermique, qui n'est pas moins important que le calcul de la rentabilité, de la résistance, de la résistance au feu et de la durabilité.
Sur la base des normes d'ingénierie thermique, des caractéristiques climatiques, de la perméabilité à la vapeur et à l'humidité, le choix des matériaux pour la construction des structures d'enceinte est effectué. Comment effectuer ce calcul, nous considérons dans l'article.
Le contenu de l'article:
Le but du calcul de l'ingénierie thermique
Cela dépend beaucoup des caractéristiques thermiques de la clôture du bâtiment. Il s'agit de l'humidité des éléments structuraux et des indicateurs de température qui affectent la présence ou l'absence de condensat sur les cloisons et plafonds intérieurs.
Le calcul montrera si des caractéristiques de température et d'humidité stables sont maintenues à des températures plus et moins. La liste de ces caractéristiques comprend également un indicateur tel que la quantité de chaleur perdue par l'enveloppe du bâtiment pendant la période froide.
Vous ne pouvez pas commencer à concevoir sans avoir toutes ces données. En fonction d'eux, choisissez l'épaisseur des murs et des sols, la séquence des couches.

Le calcul de l'ingénierie thermique vise à déterminer:
- Les conceptions sont-elles identiques aux exigences énoncées en termes de protection thermique?
- Le microclimat confortable à l'intérieur du bâtiment est-il si pleinement assuré?
- La protection thermique optimale des structures est-elle assurée?
Le principe principal est de maintenir un équilibre de la différence des indicateurs de température de l'atmosphère des structures internes des clôtures et des pièces. S'il n'est pas observé, ces surfaces absorberont la chaleur et à l'intérieur la température restera très basse.
Les changements dans le flux de chaleur ne devraient pas affecter de manière significative la température interne.Cette caractéristique est appelée résistance à la chaleur.
En effectuant un calcul thermique, les limites optimales (minimum et maximum) des dimensions des murs et des planchers en épaisseur sont déterminées. Il s'agit d'une garantie de fonctionnement du bâtiment sur une longue période, à la fois sans gel extrême des structures et surchauffe.
Paramètres pour effectuer des calculs
Pour effectuer le calcul de la chaleur, vous avez besoin des paramètres initiaux.
Ils dépendent d'un certain nombre de caractéristiques:
- Destination du bâtiment et son type.
- Orientations des enveloppes verticales de construction par rapport à l'orientation vers les points cardinaux.
- Les paramètres géographiques de la future maison.
- Le volume du bâtiment, son nombre d'étages, sa superficie.
- Types et données dimensionnelles des ouvertures de portes et fenêtres.
- Type de chauffage et ses paramètres techniques.
- Le nombre de résidents permanents.
- Matériau des structures de clôture verticales et horizontales.
- Chevauchement au dernier étage.
- Equipé d'eau chaude.
- Type de ventilation.
D'autres caractéristiques structurelles de la structure sont prises en compte dans le calcul. La perméabilité à l'air des enveloppes des bâtiments ne devrait pas contribuer à un refroidissement excessif à l'intérieur de la maison et réduire les caractéristiques de protection thermique des éléments.
La perte de chaleur cause et l'engorgement des murs, et en plus, cela conduit à l'humidité, affectant négativement la durabilité du bâtiment.
Dans le processus de calcul, tout d'abord, les données de génie thermique des matériaux de construction sont déterminées, à partir desquelles l'enveloppe du bâtiment est réalisée. De plus, la résistance réduite au transfert de chaleur et la conformité à sa valeur normative sont sujettes à détermination.
Formules de calcul
Les fuites de chaleur perdues par la maison peuvent être divisées en deux parties principales: les pertes dues aux enveloppes des bâtiments et les pertes causées par le fonctionnement. système de ventilation. De plus, la chaleur est perdue lorsque de l'eau chaude est rejetée dans le système d'égout.
Pertes dues aux enveloppes de bâtiments
Pour les matériaux qui composent les structures enveloppantes, il est nécessaire de trouver la valeur de l'indice de conductivité thermique Kt (W / m x degré). Ils se trouvent dans les répertoires concernés.
Maintenant, connaissant l'épaisseur des couches, selon la formule: R = S / CTcalculer la résistance thermique de chaque unité. Si la conception est multicouche, toutes les valeurs obtenues sont additionnées.

Guidé par cette technique, prenez en compte le moment où les matériaux qui composent la structure ont une structure différente. Il est également pris en compte que le flux thermique qui les traverse a des spécificités différentes.
Pour chaque conception individuelle, la perte de chaleur est déterminée par la formule:
Q = (A / R) x dT
Ici:
- A - superficie en m².
- R est la résistance de la structure de transfert de chaleur.
- dT est la différence de température entre l'extérieur et l'intérieur. Il doit être déterminé pour la période de 5 jours la plus froide.
En effectuant le calcul de cette manière, vous ne pouvez obtenir le résultat que pour la période de cinq jours la plus froide. La perte de chaleur totale pour toute la saison froide est déterminée en tenant compte du paramètre dT, en tenant compte de la température, non pas la plus basse, mais la moyenne.

Ensuite, calculez la quantité d'énergie nécessaire pour compenser la perte de chaleur qui a traversé l'enveloppe du bâtiment et la ventilation. Il est indiqué par W.
Il existe une formule pour cela:
W = ((Q + QB) x 24 x N) / 1000
En elle, N est la durée de la période de chauffage en jours.
Les inconvénients du calcul de la surface
Le calcul basé sur l'indicateur de zone n'est pas très précis. Ici, un paramètre tel que le climat, les indicateurs de température, minimum et maximum, l'humidité, n'est pas pris en compte. En raison de l'ignorance de nombreux points importants, le calcul comporte des erreurs importantes.
Essayant souvent de les bloquer, le projet prévoit des «stocks».
Si vous avez néanmoins choisi cette méthode de calcul, vous devez prendre en compte les nuances suivantes:
- Avec une hauteur de clôtures verticales jusqu'à trois mètres et la présence de pas plus de deux ouvertures sur une surface, le résultat est préférable de multiplier par 100 watts.
- Si le projet a un balcon, deux fenêtres ou une loggia sont multipliées par une moyenne de 125 watts.
- Lorsque les locaux sont industriels ou en entrepôt, un multiplicateur de 150W est utilisé.
- Si les radiateurs sont situés près des fenêtres, leur capacité de conception est augmentée de 25%.
La formule de l'aire est:
Q = S x 100 (150) W.
Ici, Q est un niveau de chaleur confortable dans le bâtiment, S est la zone avec chauffage en m². Nombres 100 ou 150 - la quantité spécifique d'énergie thermique dépensée pour chauffer 1 m².
Pertes par ventilation domestique
Le paramètre clé dans ce cas est le taux de change de l'air. À condition que les murs de la maison soient perméables à la vapeur, cette valeur est égale à l'unité.

Il prévoit une mise à jour complète de l'air à l'intérieur du bâtiment en une heure. Les bâtiments construits selon la norme DIN ont des murs avec pare-vapeur, donc ici le taux de renouvellement d'air est considéré comme deux.
Il existe une formule par laquelle la perte de chaleur à travers un système de ventilation est déterminée:
Qw = (V x Qu: 3600) x P x C x dT
Ici, les symboles indiquent ce qui suit:
- Qв - perte de chaleur.
- V est le volume de la pièce en mᶾ.
- P est la densité de l'air. sa valeur est prise égale à 1,2047 kg / m3.
- Kv - le taux d'échange d'air.
- C est la chaleur spécifique. Elle est égale à 1005 J / kg x C.
Sur la base des résultats de ce calcul, il est possible de déterminer la puissance du générateur de chaleur du système de chauffage. Si la valeur de puissance est trop élevée, la situation peut devenir une issue. unité de ventilation avec récupérateur. Regardons quelques exemples de maisons en matériaux différents.
Un exemple de calcul d'ingénierie thermique n ° 1
Nous calculons un immeuble résidentiel situé dans 1 région climatique (Russie), sous-zone 1B. Toutes les données sont tirées du tableau 1 du SNiP 23-01-99. La température la plus froide observée depuis cinq jours avec une sécurité de 0,92 - tn = -22⁰С.
Conformément à SNiP, la période de chauffage (zop) dure 148 jours. La température moyenne pendant la période de chauffage avec des indices quotidiens de température moyenne de l'air dans la rue est de 8⁰ - tot = -2,3⁰. La température extérieure pendant la saison de chauffage est tht = -4,4⁰.

La condition est stipulée que la température de 22 дома devrait être fournie dans les pièces de la maison. La maison a deux étages et des murs d'une épaisseur de 0,5 m. Sa hauteur est de 7 m, les dimensions dans le plan sont de 10 x 10 m. Le matériau des murs verticaux est en céramique chaude. Pour cela, le coefficient de conductivité thermique est de 0,16 W / m x C.
De la laine minérale a été utilisée comme isolant extérieur de 5 cm d'épaisseur. La valeur de CT pour elle est de 0,04 W / m x C. Le nombre d'ouvertures de fenêtre dans la maison est de 15 pièces. 2,5 m² chacun.
Perte de chaleur à travers les murs
Tout d'abord, il est nécessaire de déterminer la résistance thermique à la fois du mur en céramique et de l'isolation. Dans le premier cas, R1 = 0,5: 0,16 = 3,125 sq. mx C / W. Dans le second - R2 = 0,05: 0,04 = 1,25 sq. mx C / W. En général, pour une enveloppe de bâtiment verticale: R = R1 + R2 = 3,125 + 1,25 = 4,375 pi2. mx C / W.
La perte de chaleur ayant une relation directement proportionnelle avec la surface de l'enveloppe du bâtiment, nous calculons la surface des murs:
A = 10 x 4 x 7 - 15 x 2,5 = 242,5 m²
Vous pouvez maintenant déterminer la perte de chaleur à travers les murs:
Qc = (242,5: 4,375) x (22 - (-22)) = 2438,9 W.
Les pertes de chaleur à travers les murs horizontaux sont calculées de la même manière. En conséquence, tous les résultats sont résumés.

Si le sous-sol sous le plancher du premier étage est chauffé, le plancher ne peut pas être isolé.Les murs du sous-sol sont encore mieux gainés d'isolant afin que la chaleur ne pénètre pas dans le sol.
Détermination des pertes par ventilation
Pour simplifier le calcul, ne prenez pas en compte l'épaisseur des murs, mais déterminez simplement le volume d'air à l'intérieur:
V = 10х10х7 = 700 m².
Avec une multiplicité d'échange d'air Kv = 2, la perte de chaleur sera:
Qw = (700 x 2): 3600) x 1,2047 x 1005 x (22 - (-22)) = 20776 W.
Si Kv = 1:
Qw = (700 x 1): 3600) x 1,2047 x 1005 x (22 - (-22)) = 10 358 W.
La ventilation efficace des bâtiments résidentiels est assurée par des récupérateurs rotatifs et à plaques. L'efficacité du premier est plus élevée, elle atteint 90%.
Un exemple de calcul d'ingénierie thermique n ° 2
Il est nécessaire de calculer les pertes à travers un mur de brique de 51 cm d'épaisseur, isolé avec une couche de 10 cm de laine minérale. Extérieur - 18⁰, intérieur - 22⁰. Les dimensions du mur sont de 2,7 m de hauteur et 4 m de longueur. Le seul mur extérieur de la pièce est orienté au sud, il n'y a pas de portes extérieures.
Pour la brique, le coefficient de conductivité thermique Kt = 0,58 W / m º C, pour la laine minérale - 0,04 W / m º C. Résistance thermique:
R1 = 0,51: 0,58 = 0,879 carré mx C / W. R2 = 0,1: 0,04 = 2,5 carrés mx C / W. En général, pour une enveloppe de bâtiment verticale: R = R1 + R2 = 0,879 + 2,5 = 3,379 mètres carrés. mx C / W.
Surface du mur extérieur A = 2,7 x 4 = 10,8 m²
Perte de chaleur à travers le mur:
Qc = (10,8: 3,379) x (22 - (-18)) = 127,9 W.
Pour calculer les pertes à travers les fenêtres, la même formule est utilisée, mais leur résistance thermique est généralement indiquée dans le passeport et il n'est pas nécessaire de la calculer.

Si les fenêtres de la maison de 1,5 x 1,5 m² sont économes en énergie, orientées au nord, et que la résistance thermique est de 0,87 m2 ° C / W, alors les pertes seront:
Qo = (2,25: 0,87) x (22 - (-18)) = 103,4 t.
Un exemple de calcul d'ingénierie thermique n ° 3
Nous effectuerons un calcul thermique d'un bâtiment en rondins de bois avec une façade érigée en rondins de pin d'une épaisseur de 0,22 m. Le coefficient pour ce matériau est K = 0,15. Dans cette situation, la perte de chaleur équivaudra à:
R = 0,22: 0,15 = 1,47 m² x ⁰C / W.
La température la plus basse sur cinq jours est de -18⁰, pour le confort de la maison, la température est réglée à 21⁰. La différence est de 39⁰. Si on procède d'une surface de 120 m², on obtient le résultat:
Qc = 120 x 39: 1,47 = 3184 W.
À titre de comparaison, nous déterminons la perte d'une maison en briques. Le coefficient pour la brique de silicate est de 0,72.
R = 0,22: 0,72 = 0,306 m² x ⁰C / W.
Qs = 120 x 39: 0,306 = 15294 watts.
Dans les mêmes conditions, une maison en bois est plus économique. La brique de silicate pour les murs ne convient pas du tout ici.

Les constructeurs et les architectes recommandent de faire consommation de chaleur pendant le chauffage pour la sélection compétente de l'équipement et au stade de la conception de la maison pour sélectionner le système d'isolation approprié.
Exemple de calcul de chaleur n ° 4
La maison sera construite dans la région de Moscou. Pour le calcul, un mur créé à partir de blocs de mousse a été pris. Comment l'isolant est appliqué mousse de polystyrène extrudé. Finition de la structure - plâtre des deux côtés. Sa structure est calcaire et sablonneuse.
Le polystyrène expansé a une densité de 24 kg / m².
L'humidité relative de l'air dans la pièce est de 55% à une température moyenne de 20⁰. Épaisseur de couche:
- plâtre - 0,01 m;
- béton mousse - 0,2 m;
- mousse de polystyrène - 0,065 m.
La tâche consiste à trouver la résistance de transfert de chaleur nécessaire et la résistance réelle. Le Rtr nécessaire est déterminé en substituant les valeurs dans l'expression:
Rtr = a x GSOP + b
où GOSP est le degré-jour de la saison de chauffage, et a et b sont les coefficients tirés du tableau n ° 3 du Code des règles 50.13330.2012. Comme le bâtiment est résidentiel, a est 0,00035, b = 1,4.
Le GSOP est calculé par la formule tirée du même SP:
GOSP = (tv - tot) x zot.
Dans cette formule, tv = 20⁰, tf = -2.2⁰, zf - 205 - la période de chauffage en jours. Par conséquent:
GSOP = (20 - (-2,2)) x 205 = 4551⁰ С x jour.;
Rtr = 0,00035 x 4551 + 1,4 = 2,99 m2 x C / W.
À l'aide du tableau n ° 2 SP50.13330.2012, déterminez la conductivité thermique pour chaque couche du mur:
- λb1 = 0,81 W / m ⁰С;
- λb2 = 0,26 W / m ⁰С;
- λb3 = 0,041 W / m ⁰С;
- λb4 = 0,81 W / m ⁰С.
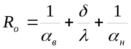
La résistance conditionnelle totale au transfert de chaleur Ro, égale à la somme des résistances de toutes les couches. Calculez-le par la formule:

La substitution des valeurs reçoit: = 2,54 m2 ° C / W. Rf est déterminé en multipliant Ro par un coefficient r égal à 0,9:
Rf = 2,54 x 0,9 = 2,3 m2 x ° C / W.
Le résultat oblige à changer la conception de l'élément enveloppant, car la résistance thermique réelle est inférieure à celle calculée.
Il existe de nombreux services informatiques qui accélèrent et simplifient les calculs.
Les calculs de génie thermique sont directement liés à la définition de point de rosée. Vous apprendrez ce que c'est et comment trouver sa valeur dans l'article que nous recommandons.
Conclusions et vidéo utile sur le sujet
Effectuer un calcul d'ingénierie thermique à l'aide d'une calculatrice en ligne:
Le calcul correct de l'ingénierie thermique:
Un calcul d'ingénierie thermique compétent vous permettra d'évaluer l'efficacité de l'isolation des éléments extérieurs de la maison, de déterminer la puissance des équipements de chauffage nécessaires.
En conséquence, vous pouvez économiser sur l'achat de matériaux et d'appareils de chauffage. Il vaut mieux savoir à l'avance si l'équipement peut gérer le chauffage et le conditionnement du bâtiment que d'acheter tout au hasard.
Veuillez laisser des commentaires, poser des questions, publier une photo sur le sujet de l'article dans le bloc ci-dessous. Expliquez-nous comment le calcul de l'ingénierie thermique vous a aidé à choisir l'équipement de chauffage de la puissance requise ou le système d'isolation. Il est possible que vos informations soient utiles aux visiteurs du site.

Chose intéressante, à l'ère d'Internet et de la disponibilité des méthodes de tels calculs, il y a encore des gens délicats qui essaient d'imposer leurs services au calcul thermique.
Je parle de ma société de gestion en ce moment - ils ont décidé d'évaluer la perte de chaleur de notre immeuble de grande hauteur, et en même temps, ils ont mis un prix sur les milliers de résidents pour des calculs tellement compliqués et longs.
Jusqu'à présent, nous avons réussi à lutter contre leurs «services».