Quel est le point de rosée: sa relation avec la construction + méthodologie de calcul
L'état physique de l'eau contenue dans les radiateurs, les matériaux de construction hygroscopiques et l'air est affecté par la température ambiante. Selon les lois du génie thermique, le point de rosée est une certaine valeur de la température à laquelle l'eau vaporeuse se condense, c'est-à-dire la rosée.
Vous apprendrez tout sur la façon de déterminer le point de rosée afin de le prendre en compte lors de l'élaboration d'un projet de construction à partir de notre article. Nous vous dirons comment le point auquel la vapeur se transforme en condensat est calculé et comment il affecte le fonctionnement de la maison. Nous donnerons des conseils sur les options pour localiser ce phénomène.
Le contenu de l'article:
Connexion du point de rosée et de la construction
La valeur numérique du point de rosée dépend directement de ces indicateurs: l'humidité relative et la température dans la rue et dans la pièce elle-même. Par exemple, si à l'extérieur de la fenêtre t = 8 ˚С et dans la maison t = 22 ˚С et que l'humidité relative est de 45%, de la condensation se formera sur le mur extérieur.
Il existe des facteurs supplémentaires qui forment le point de rosée, à savoir: les caractéristiques du climat régional, le degré d'isolation de toutes les surfaces enveloppantes, la qualité et le type de système de chauffage, la période de résidence - peuvent être permanents (maison, appartement) ou temporaires, par exemple, une résidence d'été ou un garage, une ventilation .
Il est très important pour les constructeurs de connaître le nombre de points de rosée afin de calculer la localisation exacte des condensats sur les murs, ainsi que de déterminer l'épaisseur requise de l'isolation. En effet, grâce à ces connaissances, il est possible de minimiser les pertes de chaleur pendant la saison froide.
La position du point de rosée peut se déplacer le long de l'épaisseur du mur. Cela dépend de l'épaisseur et du type de matériaux du mur lui-même et de l'isolation, des indicateurs de température et d'humidité dans la pièce et dans la rue.
Chaque matériau utilisé pour la construction et la décoration murale, à l'exception du métal, a son propre degré de perméabilité à la vapeur. Cet indicateur, du point de vue de la physique, montre la quantité de vapeur que n'importe quel matériau peut passer dans un certain temps.

Pendant les périodes de basses températures, la vapeur de la pièce sous pression aura tendance à sortir à travers toutes les couches des murs extérieurs. Plus le coefficient de perméabilité à la vapeur de l'isolant est faible, plus la couche doit être étendue. Son coefficient devrait augmenter de l'intérieur vers l'extérieur, ainsi que la conductivité thermique.
Si tous les calculs sont effectués sans erreur, alors l'emplacement du point de rosée sera en couche isolante de murplus près de la surface extérieure. C'est là que la vapeur se transforme en condensat et ne fait qu'hydrater le mur. Ainsi, la vapeur s'accumulera en hiver, et en été, il est nécessaire de créer des conditions pour l'évaporation de l'humidité accumulée.

La position du point de rosée dans le mur de soutènement de la maison sera moins adaptée. Cela se produit si le type et l'épaisseur de l'isolation sont mal sélectionnés.
Le pire des cas est l'emplacement de la condensation à l'intérieur du mur. Cette situation est possible si le mur n'est pas du tout isolé ou si l'isolation est à l'intérieur. Dans ce dernier cas, de la moisissure peut se former sous la couche d'isolation et l'isolation humide ne retiendra pas du tout la chaleur.
Options de calcul du point de rosée
La méthodologie et les règles de calcul du point de rosée sont réglementées au niveau législatif par des documents tels que SNiP 23-02 Protection thermique des bâtiments et SP 23-101-2004 Conception de la protection thermique des bâtiments.
Dans SNiP au paragraphe 6.2, trois valeurs normalisées pour la protection thermique sont prescrites, à savoir:
- Résistance au transfert de chaleur des murs et de l'isolation.
- Valeurs de température à l'intérieur et à la surface d'un mur extérieur.
- Indicateur de la consommation de chaleur approximative pour le chauffage, y compris la ventilation.
Les normes sont considérées comme remplies si les exigences 1 et 2 ou 2 et 3 sont remplies.
Afin de déterminer le point de rosée aussi précisément que possible, certains experts se tournent vers le service météorologique régional pour obtenir des informations sur la température exacte et la rose des vents dans une certaine zone.
Mais tout le monde peut effectuer de tels calculs. Il existe plusieurs façons de déterminer le point de rosée.
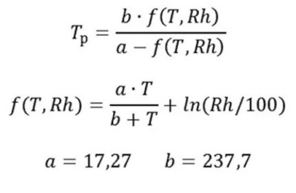
Méthode numéro 1 - l'utilisation de formules
Pour ces calculs, plusieurs formules ont été créées. Par exemple, la formule pour déduire le point de rosée à t est de 0 ˚С à +60 ˚С. Son erreur est de ± 0,4 ˚С. Pour effectuer les calculs, vous aurez besoin de la température dans la pièce à une hauteur de 50 à 60 cm du sol et de l'humidité. Remplissez ensuite les données et obtenez le résultat.

Méthode numéro 2 - l'utilisation du tableau fini
Les spécialistes ont développé une table pour l'informatique instantanée. Veuillez noter que le tableau contient des données approximatives. Il montre la température et l'humidité, et à leur intersection, vous trouverez le point de rosée.

Méthode numéro 3 - instruments de mesure
Il existe maintenant plusieurs types d'appareils spéciaux pour de telles mesures. Par exemple, certains modèles d'imageurs thermiquesEn plus des caractéristiques clés, ils peuvent afficher à la fois la localisation du point de rosée et le thermogramme de la pièce. Ils sont utilisés par les constructeurs professionnels et les ingénieurs en chaleur.

Un thermo-hygromètre portable vous aidera non seulement à connaître la température et l'humidité de la pièce, mais également à calculer le point de rosée.
Un psychromètre aidera à mesurer deux indicateurs clés dans une pièce: l'humidité et la température de l'air. L'appareil se compose de thermomètres humides et secs dans une seule unité.

Méthode numéro 4 - calculs sur une calculatrice en ligne
Il existe de nombreux services fournissant de telles calculatrices. De plus, cette méthode est considérée comme l'une des plus peu fiables, car en conséquence, vous pouvez obtenir des chiffres du plafond ou avec une grosse erreur.
Si vous n'êtes pas sûr des résultats, faites confiance aux professionnels et contactez une entreprise spécialisée. Ils analyseront les murs et offriront la meilleure option.
Localisation du point de rosée
L'emplacement du point de rosée dépend de quel côté se trouve l'isolant. Ainsi, dans un mur sans isolation, il sera déplacé le long de l'épaisseur du mur en fonction des changements de température et d'humidité de l'air. Avec une différence de température minimale, il sera situé dans l'épaisseur du mur entre le centre et la surface extérieure.
Par la suite, l'intérieur du mur restera sec. Lorsque sa position est entre la surface intérieure et le centre du mur, celui-ci se mouille à l'intérieur lors d'un coup de froid ou lors du gel.

Dans le mur avec isolation extérieure l'emplacement du point de rosée sera optimal. En effet, dans ce cas, il sera situé à l'intérieur de l'isolation, et donc la surface intérieure du mur sera sèche. C'est la meilleure option.
Mais, si l'épaisseur de l'isolation a été choisie incorrectement, un point de rosée peut se déplacer, ce qui est lourd d'apparition de champignons, de moisissures, de destruction rapide des murs.
Dans le mur avec isolé à l'intérieur du condensat se forme dans le mur plus près du salon, la température du mur sous la couche d'isolation thermique diminue, créant des conditions optimales pour la croissance de moisissures.
La localisation peut être comme ceci:
- entre le centre du mur et l'isolant, et par temps de gel ou de forte baisse de température à leur bordure;
- sur la surface intérieure du mur, qui sera humide sous l'isolation pendant toute la période hivernale;
- à l'intérieur de l'isolation, qui, comme le mur en dessous, sera humide pendant toute la période froide.
Comme vous pouvez le voir, l'emplacement du point de rosée a un impact significatif sur le confort et la santé humaine.
Les conséquences de calculs incorrects
Lorsque vous choisissez des matériaux pour l'isolation, n'oubliez pas que l'un des moyens efficaces de protéger les murs extérieurs de l'humidité est de positionner correctement les couches d'isolation.

Une couche dense qui ne permettra pas à la vapeur de passer devrait être située à l'intérieur du mur porteur, et une couche poreuse perméable à l'humidité devrait être à l'extérieur.
Il est également nécessaire de créer des conditions de ventilation au point de condensation. Dans ce cas, le condensat s'évapore sans obstruction.

Si l'isolation a été mal choisie, l'humidité y s'accumulera progressivement et le nombre de résistance thermique du mur diminuera. Par conséquent, dans la deuxième, maximum pour la cinquième saison de chauffage, les coûts de chauffage augmenteront, s'il s'agit d'une maison privée, l'appartement sera tout simplement beaucoup plus froid en hiver.
L'isolation professionnelle est un processus long et coûteux. Aujourd'hui, il existe de nombreux matériaux pour l'isolation.N'essayez pas d'économiser sur eux, car les matériaux bon marché deviendront inutilisables et commenceront à s'effondrer après quelques saisons de chauffage.
Il y a plusieurs conséquences de calculs incorrects, mais certains d'entre eux peuvent affecter négativement la qualité de vie. La principale conséquence sera des murs constamment humides, à la suite de champignons, de moisissures, de microbes sur les murs, ce qui entraîne l'apparition de nombreuses maladies chroniques.

Puisqu'une pièce humide est difficile à chauffer, le niveau de confort baisse. Et une humidité élevée à l'intérieur de ces murs peut provoquer des maladies respiratoires.
Une autre conséquence désagréable de calculs incorrects est la destruction des matériaux de finition - les carreaux s'effritent, la brique s'effrite sur le mur extérieur et la surface sur les murs commence à gonfler à l'intérieur.

Pour corriger la situation, vous devez contacter des spécialistes pour analyser l'état des murs et de l'isolation. Avec les bons calculs, vous pouvez corriger toutes les erreurs et créer des conditions confortables et chaleureuses dans votre maison.
Avec les règles et les formules du calcul de génie thermique pour la conception compétente de la maison introduira article suivant, que nous recommandons fortement de lire.
Conclusions et vidéo utile sur le sujet
Vous pouvez apprendre comment déterminer le point de rosée et ce qu'il représente dans la vidéo suivante:
Les moyens d'isolation des murs et le bon choix de matériaux seront abordés dans la vidéo suivante:
Vous pouvez connaître le point de rosée de manière indépendante et en contactant des professionnels. Le nombre de points de rosée permet au spécialiste de sélectionner correctement le matériau et d'isoler correctement les murs d'un immeuble résidentiel ou de toute autre pièce.
Non seulement la chaleur et le confort dans la maison, mais aussi la santé de ses résidents dépendent de la précision des mesures. Les professionnels recommandent d'isoler le mur de l'intérieur uniquement en dernier recours et après une consultation professionnelle.
Veuillez écrire des commentaires et poser des questions sur des questions controversées, publier des photos et des articles avec votre opinion dans le bloc ci-dessous. Partagez des informations et des méthodes utiles pour déterminer le point de rosée qui ne sont pas décrites dans l'article. Parlez-nous de votre expérience personnelle dans la résolution de ce problème.
